Loading...

GGG単結晶基板(Gd3Ga512) ガドリニウムガリウムガーネット

GGG単結晶はYIGなどの磁性薄膜作製に用いられる定番材料です。
正しくはGd3Ga5O12と表記しますが、頭文字+ガーネット構造で、GGGと呼ばれています。
K&Rでは定番の(111)面はもちろん、(100)や(110)面まで、最高品質のGGG単結晶基板を販売しており、
スピントロニクスの研究分野で世界最先端を走っておられる数々の著名研究グループにご採用
いただいてまいりました。
良質なガーネット系基板をお探しのお客様、是非お試し下さいませ。

※弊社提供のGGG基板を用いて進められた研究成果が論文としてリリースされました。
(下記ご参照)


掲載論文

Deterministic spin-orbit torque switching of epitaxial ferrimagnetic insulator with perpendicular magnetic anisotropy fabricated by on-axis magnetron sputtering

Roselle Ngaloy, Naoto Yamashita, Bing Zhao, Soojung Kim, Kohei Yamashita, Ivo P. C. Cools, Marlis N. Agusutrisno, Soobeom Lee, Yuichiro Kurokawa, Chun-Yeol You, Hiromi Yuasa & Saroj P. Dash(npj Spintronics 3, 40 (2025))

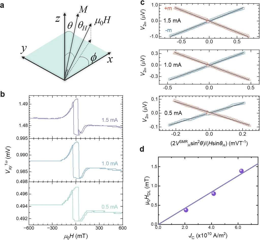
In this study, we demonstrated the SOT magnetization switching of TmIG thin film grown by on-axis radio-frequency magnetron sputtering. We systematically investigated the effect of growth conditions on the structural and magnetic properties of TmIG films, where excellent crystallinity and perpendicular magnetic anisotropy were achieved. In the Pt/TmIG heterostructure Hall bar devices, deterministic SOT magnetization switching was observed at room temperature, with competitive spin Hall conductivity and critical current densities. Second harmonic Hall measurements were performed to quantify effective damping-like torque, which is as high as previous reports. Our results show the potential of on-axis magnetron sputtering for the fabrication of ferrimagnetic insulators with perpendicular magnetic anisotropy for spintronic memory applications.

-Summary

製品情報

サイズ

10x10mm 

※10x10mmよりも大きいサイズは外周部の結晶性が極端に下がるため扱っておりません

厚み

0.5mm

研磨

片面エピ研磨、両面エピ研磨 

面方位

(111)、(100)、(110)

GGG(Gd3Ga5O12)

結晶育成方法

チョクラルスキー

結晶構造

Cubic

格子定数 (nm)

a=1.2382 

結晶カラー

淡黄色 

密度 (g/cm3)

7.02

溶融温度 (K)

2003

熱膨張率 (10-6K-1)

8.2

比誘電率

30

損失係数

0.15

硬度 (Mohs)

6.5

※ 上記数値は保証値でなく、一般値です。

Contact

製品やサービスに関するお問合せ

各種単結晶基板・光学窓材・超伝導製品・イオン交換膜などの在庫情報、電子材料の新規取り扱いのご相談など、お気軽にお問い合わせください。

メールでのお問い合わせ

お問い合わせフォーム

お電話でのお問い合わせ

072-752-7975

受付時間 平日9:00〜17:00